近期,理学院量子信息物理研究团队在国际学术期刊《APL Photonics》发表了题为“Approaching the double-Heisenberg scaling sensitivity in the Tavis-Cummings model”(论文链接)的研究论文,该论文被选为Editor's Pick(编辑精选)。bat365正版唯一官网为第一单位,应用物理系苏玉国博士为第一作者。
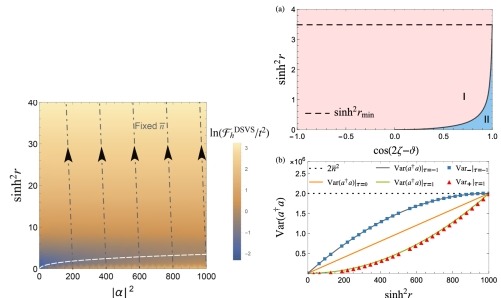
长期以来,为实现实验上可行的量子计量学,无需依赖非经典初始态的量子增强参数估计一直是研究目标。本工作中,我们通过引入相干平均机制,证明了典型的腔量子电动力学(QED)系统(如Tavis-Cummings模型)不仅可实现基于平均光子数的海森堡标度(HS)测量精度,还能实现关于平均光子数与原子数的双海森堡标度灵敏度。这种双重灵敏度可通过量子压缩引入光子数或原子数涨落进行实验验证。此外,我们讨论了在非完美压缩的实际实验环境中实现双海森堡标度精度的具体方法。本研究为理解量子增强精密测量的相干平均机制提供了新视角,同时展示了腔QED系统与超导电路在可实用度量学中的重要应用价值。

量子Fisher信息及其行为
此研究获得国家自然科学基金、浙江省自然科学基金杭州联合基金、杭州市自然科学基金支持。(理学院 孙婷婷)